Homework

iconTurn in HW8 Homework 8 (Huffman)

Due Friday December 5, 11:00pm.

No submissions accepted after Monday December 8, 11:00pm.
Specification:
Supporting Files:

java MakeCode.java
java Encode.java
java Decode.java
java BitInputStream.java
java BitOutputStream.java
text hamlet.txt
text hamlet.code
text hamlet.short
text short.txt
text short.code
text short.short

icon ass8.zip

(client program for part 1)
(client program for part 2)
(client program for part 3)
(supporting code for part 2)
(supporting code for part 2)
(sample file)
(code for sample file)
(compressed sample file)
(sample file)
(code for sample file)
(compressed sample file)

all of the above

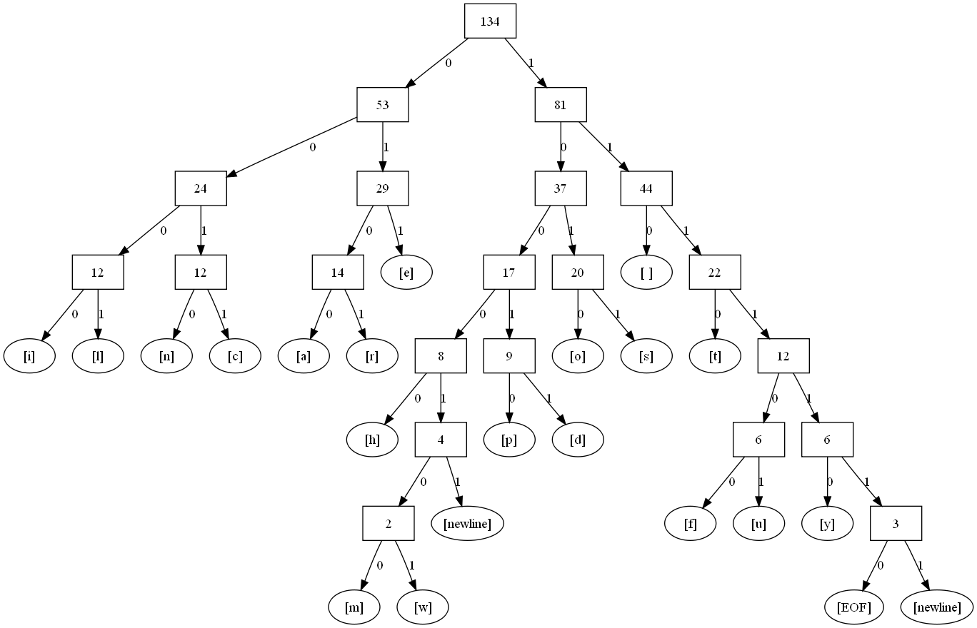
Diagrams : text short tree diagram
text hamlet tree diagram
 
Links:

iconTurn in HW8 Bonus Homework 8 BONUS (HuffmanTree2)

Due Monday December 8, 11:00pm.

No late submissions accepted
Specification:
Supporting Files :

iconTurn in HW7 Homework 7 (AnagramSolver)

Due Friday November 21, 11:00pm.
No submissions accepted after Monday November 24, 11:00pm.

Specification:
Supporting Files:
Sample logs :
Sample trace :
Links:

iconTurn in HW4 Bonus Homework 5 Bonus (Hangman Bonus)

Due Monday November 17, 11:00pm.
No late submissions accepted.

Specification:
Links:

iconTurn in HW6 Homework 6 (GrammarSolver)

Due Friday November 7, 11:00pm.
No submissions accepted after Monday November 10, 11:00pm.

Specification:
Supporting Files:
Links:

iconTurn in HW5 Homework 5 (Evil Hangman)

Due Friday October 31, 11:00pm.
No submissions accepted after Monday November 3, 11:00pm.

Specification:
Supporting Files:
Sample Logs:
Links:

iconTurn in HW4 Homework 4 (AssassinManager)

Due Friday October 24, 11:00pm.
No submissions accepted after Monday October 27, 11:00pm.

Specification:
Supporting Files:
Sample logs :
Links:

iconTurn in HW3 Homework 3 (Guitar Hero)

Due Friday October 17, 11:00pm.
No submissions accepted after Monday October 20, 11:00pm.

Specification:
Supporting files :
Links:

iconTurn in HW2 Homework 2 (Letter Inventory)

Due Friday October 10, 11:00pm.
No submissions accepted after Monday October 13, 11:00pm.

Specification:
Testing Programs:

icon Turn in HW1 Critters here Homework 1 (Critters)

Due Friday, October 3, 11:00pm. No submissions accepted after Monday October 6, 11:00pm.

Specification:
Supporting Files: