Homework

iconTurn in HW8 Homework 8 (Huffman)

Due Thursday December 4, 11:00pm.

No submissions accepted after Monday December 8, 11:00pm.
Specification:
Supporting Files:

java MakeCode.java
java Encode.java
java Decode.java
java BitInputStream.java
java BitOutputStream.java
text hamlet.txt
text hamlet.code
text hamlet.short
text short.txt
text short.code
text short.short

icon ass8.zip

(client program for part 1)
(client program for part 2)
(client program for part 3)
(supporting code for part 2)
(supporting code for part 2)
(sample file)
(code for sample file)
(compressed sample file)
(sample file)
(code for sample file)
(compressed sample file)

all of the above

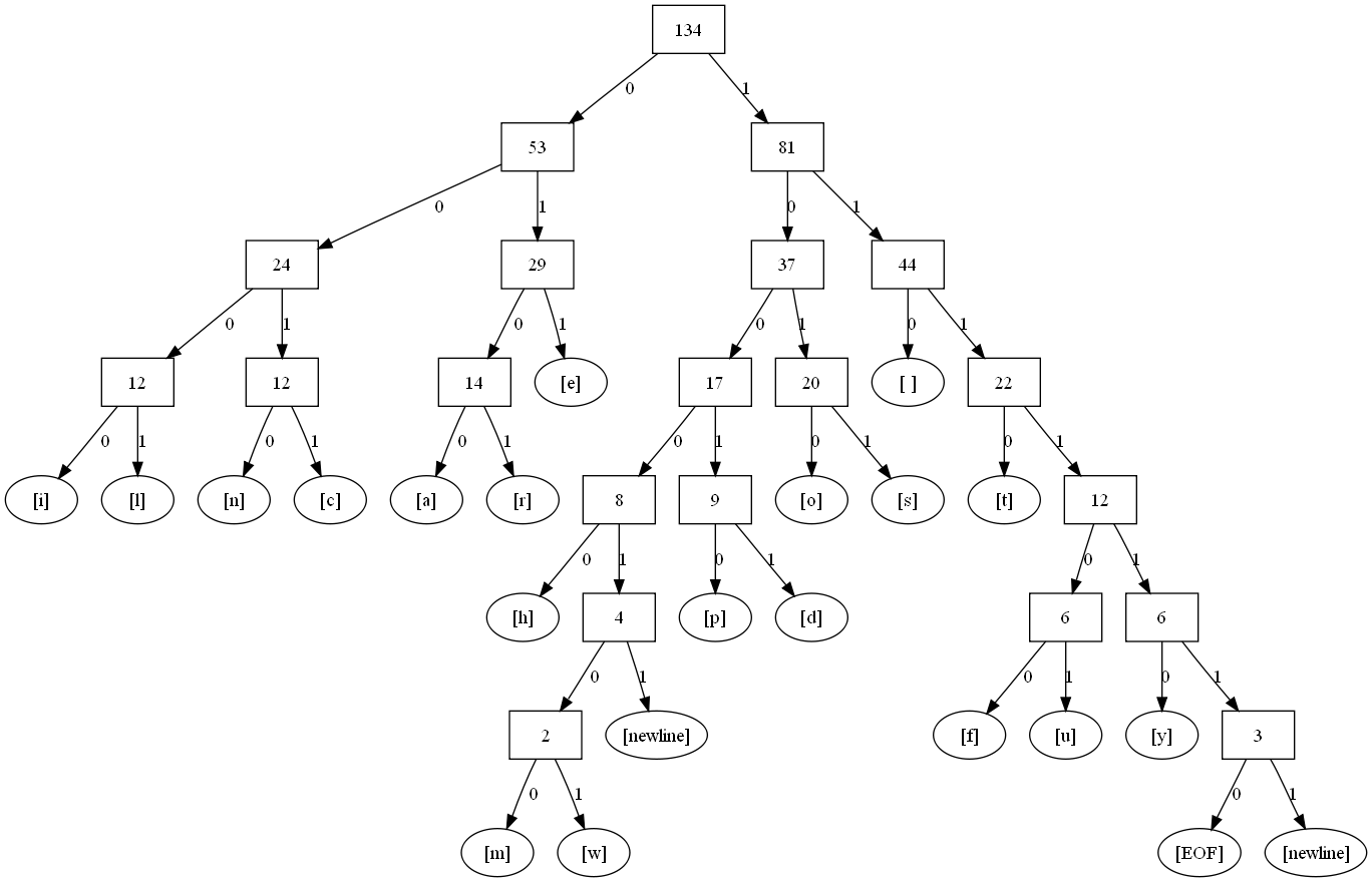
Diagrams : text short tree diagram
text hamlet tree diagram
 
Links:

iconTurn in HW8 Bonus Homework 8 BONUS (HuffmanTree2)

Due Monday December 8, 11:00pm.

No late submissions accepted
Specification:
Supporting Files :

iconTurn in HW7 Homework 7 (20 Questions)

Due Thursday November 20, 11:00pm.
No submissions accepted after Monday November 24, 11:00pm.

Specification:
Supporting Files: javaQuestionMain.java
text yesTo.txt
text question.txt
text bigquestion.txt
icon ass7.zip
Client program
code for yesTo method
short question file
huge question file
all of the above
Sample logs : text hw7-log1.txt
text hw7-log2.txt
text hw7-log3.txt
execution from handout
execution using bigquestion
extra log
Links:

iconTurn in HW6 Homework 6 (AnagramSolver)

Due Thursday November 13, 11:00pm.
No submissions accepted after Monday November 17, 11:00pm.

Specification:
Supporting Files:
Sample logs :
Sample trace :
Links:

iconTurn in HW4 Bonus Homework 4 Bonus (Hangman Bonus)

Due Monday November 10, 11:00pm.
No late submissions accepted.

Specification:
Links:

iconTurn in HW5 Homework 5 (GrammarSolver)

Due Thursday October 30, 11:00pm.
No submissions accepted after Monday November 3, 11:00pm.

Specification:
Supporting Files:
Links:

iconTurn in HW4 Homework 4 (Evil Hangman)

Due Thursday October 23, 11:00pm.
No submissions accepted after Monday October 27, 11:00pm.

Specification:
Supporting Files:
Sample Logs:
Links:

iconTurn in HW3 Homework 3 (AssassinManager)

Due Thursday October 16, 11:00pm.
No submissions accepted after Monday October 20, 11:00pm.

Specification:
Supporting Files:
Sample logs :
Links:

iconTurn in HW2 Homework 2 (Guitar Hero)

Due Thursday October 9, 11:00pm.
No submissions accepted after Monday October 13, 11:00pm.

Specification:
Supporting files :
Links:

iconTurn in HW1 Homework 1 (Letter Inventory)

Due Thursday October 2, 11:00pm.
No submissions accepted after Monday October 6, 11:00pm.

Specification:
Testing Programs: