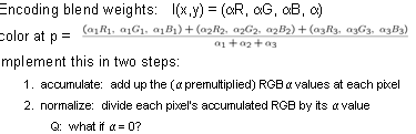
Alpha Blending