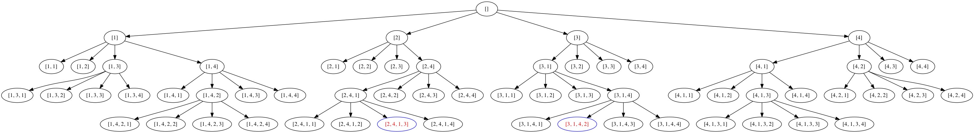
CSE143 4-Queens Trace handout #18
explore column 1
row 1
place
explore column 2
row 1
row 2
row 3
place
explore column 3
row 1
row 2
row 3
row 4
remove
row 4
place
explore column 3
row 1
row 2
place
explore column 4
row 1
row 2
row 3
row 4
remove
row 3
row 4
remove
remove
row 2
place
explore column 2
row 1
row 2
row 3
row 4
place
explore column 3
row 1
place
explore column 4
row 1
row 2
row 3
place
explore column 5
success!
remove
row 4
remove
row 2
row 3
row 4
remove
remove
row 3
place
explore column 2
row 1
place
explore column 3
row 1
row 2
row 3
row 4
place
explore column 4
row 1
row 2
place
explore column 5
success!
remove
row 3
row 4
remove
remove
row 2
row 3
row 4
remove
row 4
place
explore column 2
row 1
place
explore column 3
row 1
row 2
row 3
place
explore column 4
row 1
row 2
row 3
row 4
remove
row 4
remove
row 2
place
explore column 3
row 1
row 2
row 3
row 4
remove
row 3
row 4
remove
